Research

Multi-Point Boundary Value Problems For p-Laplacian Fractional Differential Equations

 2024.11.11.

In recent years, as fractional differential equations have become more powerful tools describing and simulating many phenomena occurred in a wide range of nature, society, and human lives such as physics, chemistry, biology, materials science, astronomy, and artificial intelligence, their mathematical perspectives also have been vastly covered.

We studied numerical solutions to multi-point boundary value problems for p-Laplacian fractional differential equations modelling a turbulent flow of fluid in porous media:

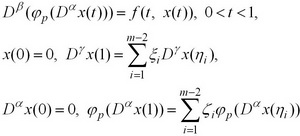
multi-point boundary value problems

,where 1<α, β≤2, 0<γ<1, 0<ξi, ηi, ζi<1, i=1, 2, ∙∙∙, m-2 and Dα, Dβ, Dγ are the standard Riemann-Liouville fractional derivatives. Also, f is continuous and negative on [0, 1]×[0, +∞), and φp(s) is defined as φp(s)=|s|p-2, p>1.

We devised an approximate method to solve boundary value problems of p-Laplacian fractional differential equations. In this study, we established the numerical scheme for positive solutions to the m-point boundary value problem of fractional differential equation and proved the convergence of the approximate solution computed by our scheme to the exact one for the given problem, combining the Haar wavelet operational matrix of fractional integration with the collocation method and the fixed point iterative method. By applying the alternative combination of function approximations based on Haar wavelet functions and their fractional integrals in PC[0, 1] and C[0, 1] with the fixed point iterative method, we extended the numerical results for fractional order nonlinear oscillatory equations to the case of p-Laplacian fractional differential equations.

Our results were published in "Applied Numerical Mathematics" under the title of "A new approach for solving one-dimensional fractional boundary value problems via Haar wavelet collocation method"(https://doi.org/10.1016/j.apnum.2020.10.019).