과학연구

Na0.5K0.44Li0.06NbO3무연압전사기의 압전 및 유전특성과 온도안정성에 주는 WO3첨가의 영향

 2024.9.30.

PZT에 기초한 압전사기는 우수한 압전 및 유전특성으로 하여 여러가지 수감부들과 구동장치들에 널리 응용되고있다. 그러나 제작과정에 Pb의 증발로 하여 환경오염을 일으키고 사용온도가 300℃이하인것으로 하여 PZT를 대신할수 있는 무연압전사기재료개발사업이 세계적범위에서 광범히 진행되고있다. PZT에 기초한 압전사기와 특성이 비교되는 무연압전재료들은 페로브스카이트구조를 가진 Na0.5K0.5NbO3(NKN)계와 Na0.5Bi0.5TiO3(BNT)계, BaTiO3계에 기초한 사기재료들로서 그중에서도 NKN에 기초한 무연압전사기는 우수한 압전특성과 높은 큐리온도를 가지고있는것으로 하여 특별한 관심을 끌고있다.

최근 김일성종합대학 첨단기술개발원의 연구사들은 Na0.5K0.44Li0.06NbO3(NKLN)무연압전사기에 WO3을 첨가하고 첨가량에 따르는 유전 및 압전특성의 변화와 온도안정성을 고찰함으로써 고온에서 리용할수 있는 무연압전사기재료를 제작하였다.

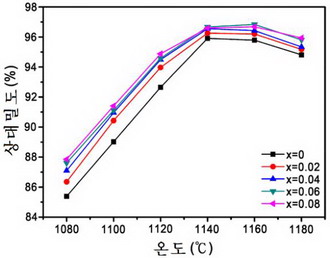
각이한 WO3첨가제가 들어있는 Na0.5K0.44Li0.06NbO3(NKLN)+xWO3(x=0~0.08)사기의 밀도는 소결온도가 증가함에 따라 증가하며 매 조성에 따라 최대밀도를 나타내는 최적소결온도가 존재한다.(그림 1)

사기시편들의 밀도변화
그림 1. 서로 다른 온도에서 소결한 각이한 WO3첨가량이 들어있는 사기시편들의 밀도변화

WO3첨가량이 x≤0.06이하인 경우 kp와 d33은 x의 증가에 따라 증가되며 x=0.06에서 d33~235pC/N, kp~42.1%, tanδ~0.043, Qm~61, TC~442℃의 우수한 압전 및 유전특성이 얻어진다.(그림 2)

력학적우량도, 압전곁수, 유전손실의 변화
그림 2. WO3첨가량에 따르는 NKLN-xWO3사기시편의 전기력학적결합곁수(kp)와 력학적우량도(Qm), 압전곁수(d33), 유전손실(tanδ)의 변화

WO3을 첨가할 때 계의 중성을 유지하기 위해 약간의 A자리빈틈들이 발생하며 이것은 비180°도멘들의 편극방향이 변화되면서 발생하는 변형을 완화시켜 180°도멘들의 편극변화가 충분히 진행되도록 함으로써 사기의 압전특성을 개선시킨다. 온도안정성을 평가하기 위하여 400℃에서 48h동안 열처리하고 kp의 변화특성을 고찰한 결과 WO3이 증가함에 따라 kp의 변화가 작아진다는것을 발견하였다.

이 연구결과들은 잡지 《Applied Physics A》에 《Effect of WO3 doping on the piezoelectric property and temperature stability of lead free Na0.5K0.44Li0.06NbO3 ceramics》(https://doi.org/10.1007/s00339-021-04586-7)의 제목으로 출판되였다.